讲一下怎么手写线性规划的对偶问题。

形式

先记住对偶的基本形式。然后按照这个形式去写它的对偶问题。

从最小化问题开始。注意不等式符号是小于等于。

$$ \begin{aligned} \min~ & c^Tx \\ \text{s.t. } & Ax \geq b \\ & x\geq 0 \end{aligned} $$

其中 $A \in \mathbb{R}^{m\times n}, b\in \mathbb{R}^m, c, x\in \mathbb{R}^n$。

它的对偶问题定义如下。

$$ \begin{aligned} \max~ & b^Ty \\ \text{s.t. } & A^Ty \leq c\\ & y \geq 0 \end{aligned} $$

注意:对偶问题的决策变量 $y$ 的维度是 $m$,即 $y\in \mathbb{R}^m$。

观察一下这两个问题形式上的区别。

  1. 优化方向: $\min ~ \leftrightarrow~\max$
  2. 约束方向: $\geq~\leftrightarrow ~\leq$
  3. 参数位置:$b$ 和 $c$ 位置互换

如果原问题的约束是等式形式。

$$ \begin{aligned} \min~ & c^Tx \\ \text{s.t. } & Ax = b \\ & x\geq 0 \end{aligned} $$

它的对偶就是这样。

$$ \begin{aligned} \max~ & b^Ty \\ \text{s.t. } & A^Ty \leq c\\ \end{aligned} $$

这种情况下,对偶变量 $y$ 没有非负要求。

步骤

前面介绍了线性规划的标准型(两种形式),以及相应的对偶问题。下面讲手写对偶问题的思路。

第一步,定义对偶变量

基本原则是,原问题一个约束对应对偶问题的一个变量。换句话说,对偶变量的维度等于系数矩阵的维度。

第二步,约束乘以变量

先得到目标函数,也就是不等式最右边部分。此外,如果原问题是最小化问题,那么对偶问题就是最大化问题。反之亦然。

第三步,系数比较

然后得到约束条件。拿 $y^TA x$ 跟目标函数中 $c^Tx$ 中关于变量 $x$ 的系数进行比较。

第四步,得到结果

例 1

$$ \begin{aligned} \min ~ & c^Tx \\ \text{s.t. } & Ax \geq b \\ & Bx = d \\ & x \geq 0 \end{aligned} $$

下面是写对偶的过程。

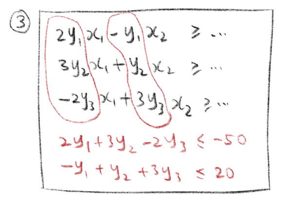
例 2

$$ \begin{aligned} \min~ & -50x_1 + 20x_2\\ \text{s.t. } & 2x_1-x_2 \geq -5\\ & 3x_1+x_2\geq 3 \\ & 2x_1 -3x_2 \leq 12 \\ & x_1,x_2 \geq 0 \end{aligned} $$

注意第三个不等式,它的方向是小于等于。可以先写成大于等于,然后再写它的对偶。

下面是写对偶的过程。

Last updated 03 Nov 2025, 09:34 +0800 . history